Image Details

Choose export citation format:

The Maximum Mass and Rotational Kinetic Energy of Rapidly Rotating Neutron Stars

  • Authors: Shao-Peng Tang, Yong-Jia Huang, Yi-Zhong Fan

Shao-Peng Tang et al 2026 The Astrophysical Journal 1000 .

  • Provider: AAS Journals

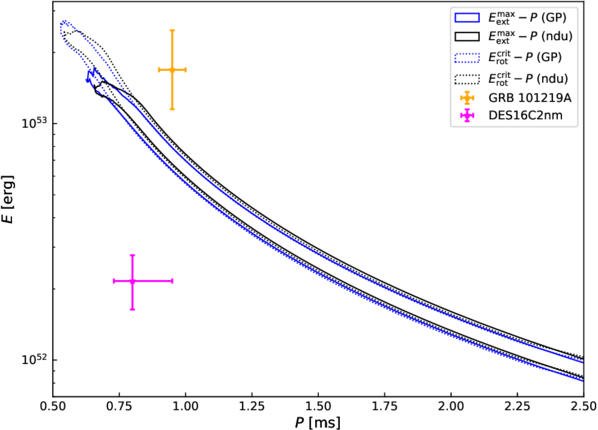
Caption: Figure 4.

The solid lines show the maximum extractable rotational energy, ﹩{E}_{{\rm{ext}}}^{{\rm{\max }}}﹩, for neutron stars with baryonic mass equal to Mb,TOV as a function of rotation period P. The dotted lines represent the maximum rotational energy of neutron stars at a given period. Blue and black curves correspond to the GP and ndu models, respectively. The inferred parameters of DES16C2nm (B. Hsu et al. 2021) and GRB 101219A (A. Rowlinson et al. 2013) are shown for comparison.

Other Images in This Article
Copyright and Terms & Conditions

Additional terms of reuse