Image Details

Choose export citation format:

The Maximum Mass and Rotational Kinetic Energy of Rapidly Rotating Neutron Stars

  • Authors: Shao-Peng Tang, Yong-Jia Huang, Yi-Zhong Fan

Shao-Peng Tang et al 2026 The Astrophysical Journal 1000 .

  • Provider: AAS Journals

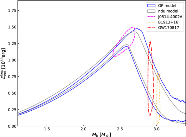
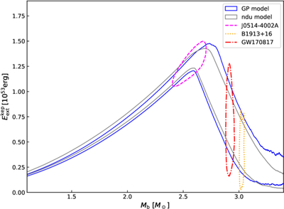
Caption: Figure 3.

Extractable rotational energy of the neutron star at the mass-shedding limit, ﹩{M}_{{\rm{ext}}}^{{\rm{kep}}}﹩, as a function of baryonic mass. The blue and gray curves correspond to the GP and ndu models, respectively. Expected values for J0514–4002A (A. Ridolfi et al. 2019), B1913+16 (J. M. Weisberg et al. 2010), and GW170817 (B. P. Abbott et al. 2019a) are presented.

Other Images in This Article
Copyright and Terms & Conditions

Additional terms of reuse