Image Details

Choose export citation format:

The Maximum Mass and Rotational Kinetic Energy of Rapidly Rotating Neutron Stars

  • Authors: Shao-Peng Tang, Yong-Jia Huang, Yi-Zhong Fan

Shao-Peng Tang et al 2026 The Astrophysical Journal 1000 .

  • Provider: AAS Journals

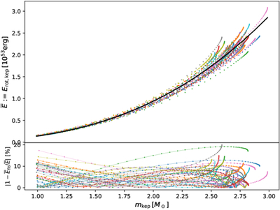
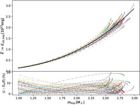
Caption: Figure 10.

Rotational energy at the Kepler limit, Erot,kep (in 1053 erg), as a function of the neutron star mass mkep. The black line is a polynomial fit, and the bottom panel displays the fractional residual.

Other Images in This Article
Copyright and Terms & Conditions

Additional terms of reuse