Image Details

Choose export citation format:

The Maximum Mass and Rotational Kinetic Energy of Rapidly Rotating Neutron Stars

  • Authors: Shao-Peng Tang, Yong-Jia Huang, Yi-Zhong Fan

Shao-Peng Tang et al 2026 The Astrophysical Journal 1000 .

  • Provider: AAS Journals

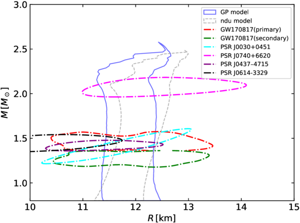
Caption: Figure 7.

The 68.3% credible mass–radius intervals reconstructed using the GP (blue) and quarkyonic (gray) models. The mass–radius data for PSR J0030+0451, PSR J0740+6620, PSR J0437–4715, PSR J0614–3329, and the components of the GW170817 event are shown for comparison.

Other Images in This Article
Copyright and Terms & Conditions

Additional terms of reuse