Image Details

Choose export citation format:

A Test of Substellar Evolutionary Models with High-precision Ages from Asteroseismology and Gyrochronology for the Benchmark System HR 7672AB

  • Authors: Yaguang Li, 亚光 李, Michael C. Liu, Trent J. Dupuy, Daniel Huber, Jingwen Zhang, 婧雯 张, Daniel Hey, R. R. Costa, Jens Reersted Larsen, J. M. Joel. Ong, 加冕 王, Sarbani Basu, Travis S. Metcalfe, Yixiao Zhou, 一啸 周, Jennifer van Saders, Timothy R. Bedding, Marc Hon, Hans Kjeldsen, Tiago L. Campante, Mário J. P. F. G. Monteiro, Mia Sloth Lundkvist, Mark Lykke Winther, Ashley Chontos, Nicholas Saunders, Theron W. Carmichael, Antonin Bouchez, Carlos Alvarez, Samuel A. U. Walker, Aldo G. Sepulveda, Howard Isaacson, Andrew W. Howard, Steven R. Gibson, Samuel Halverson, Kodi Rider, Arpita Roy, Ashley D. Baker, Jerry Edelstein, Chris Smith, Benjamin J. Fulton, Josh Walawender

Yaguang Li et al 2026 The Astrophysical Journal 1002 .

  • Provider: AAS Journals

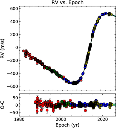
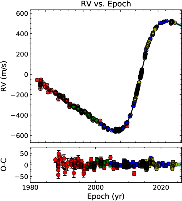
Caption: Figure 16.

Top: long-baseline RV measurements of HR 7672A, fitted with a dynamical model jointly constrained by astrometric data. Colored symbols indicate RVs measured by different instruments: Lick-Fischer, HIRES (pre- and postupgrade), and APF. Bottom: residuals relative to the best-fit model.

Other Images in This Article

Show More

Copyright and Terms & Conditions

Additional terms of reuse