Image Details

Choose export citation format:

Eccentric Binaries Accreting from Thin Disks: Orbital Evolution

  • Authors: Alexander J. Dittmann, Geoffrey Ryan, Luciano Combi

Alexander J. Dittmann et al 2026 The Astrophysical Journal 1001 .

  • Provider: AAS Journals

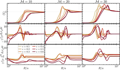
Caption: Figure 6.

Profiles of the disk surface density (top row), the contribution of the disk to the eccentricity evolution of the binary as a function of radius (middle row; see Equation (29)), and its integral (bottom row), each integrated in azimuth and averaged over the final 20 orbits of each simulation. Note that we have rescaled ﹩d{\dot{e}}_{g}/dr﹩ by a factor of e/(1 − e2) to highlight the role of the disk rather than the changing properties of the binary. In most cases, the inner regions of the accretion flow surrounding the binary itself (at R  <  a) contribute negligibly to the evolution of the binary. Typically, the streams of gas flowing toward and being jettisoned away from the binary and the inner edge of the circumbinary cavity govern the orbital evolution of the binary.

Other Images in This Article

Show More

Copyright and Terms & Conditions

Additional terms of reuse