Image Details

Choose export citation format:

Eccentric Binaries Accreting from Thin Disks: Orbital Evolution

  • Authors: Alexander J. Dittmann, Geoffrey Ryan, Luciano Combi

Alexander J. Dittmann et al 2026 The Astrophysical Journal 1001 .

  • Provider: AAS Journals

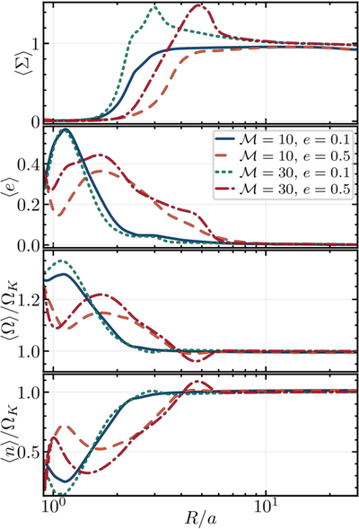
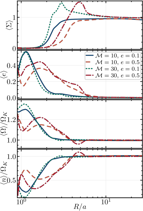
Caption: Figure 3.

Azimuthally integrated fluid profiles for Mach 10 and 30 disks around binaries with eccentricities of 0.1 and 0.5, time averaged in each case over the final 1200 orbits of each simulation. The first and second rows plot the average disk surface density and eccentricity, demonstrating the mild eccentricities of the circumbinary disk and the even more pronounced eccentricity of fluid within the cavity. The bottom two rows plot the average angular and orbital frequencies of the fluid throughout the disk, normalized by the Keplerian frequency ﹩{{\rm{\Omega }}}_{K}\equiv (R/a{)}^{-3/2}﹩. All averages except that of the surface density were weighted by mass.

Other Images in This Article

Show More

Copyright and Terms & Conditions

Additional terms of reuse