Image Details

Choose export citation format:

The Evolution of the Reconnection Flux during the Eruption of Magnetic Flux Ropes

  • Authors: Samriddhi Sankar Maity, Piyali Chatterjee, Ranadeep Sarkar, Ijas S. Mytheen

Samriddhi Sankar Maity et al 2026 The Astrophysical Journal 1000 .

  • Provider: AAS Journals

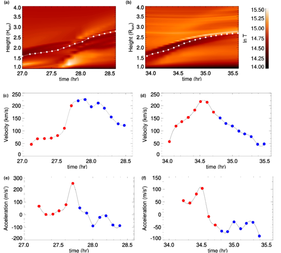
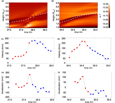
Caption: Figure 5.

(a) Height–time profile of the core of the flux rope before and after the first eruption at t = 27.9 hr. The height is calculated by tracking the dark region (flux rope) in the central meridional plane. (b) Same as (a), but for the second eruption at t = 34.7 hr. Time evolution of velocity, (c)–(d), and acceleration, (e)–(f), for both eruptions in the simulation. The red (blue) circles are used to represent simulation data before (after) the eruption.

Other Images in This Article
Copyright and Terms & Conditions

Additional terms of reuse