Image Details

Choose export citation format:

Supermassive Black Hole and Broad-line Region in NGC 5548: 2023 Reverberation Mapping Results

  • Authors: Wen-Zhe Xi, Kai-Xing Lu, Jin-Ming Bai, Zhang Yue, Weimin Yi, Liang Xu, Sha-Sha Li, Hai-Cheng Feng, Jian-Guo Wang

Wen-Zhe Xi et al 2025 The Astrophysical Journal 995 .

  • Provider: AAS Journals

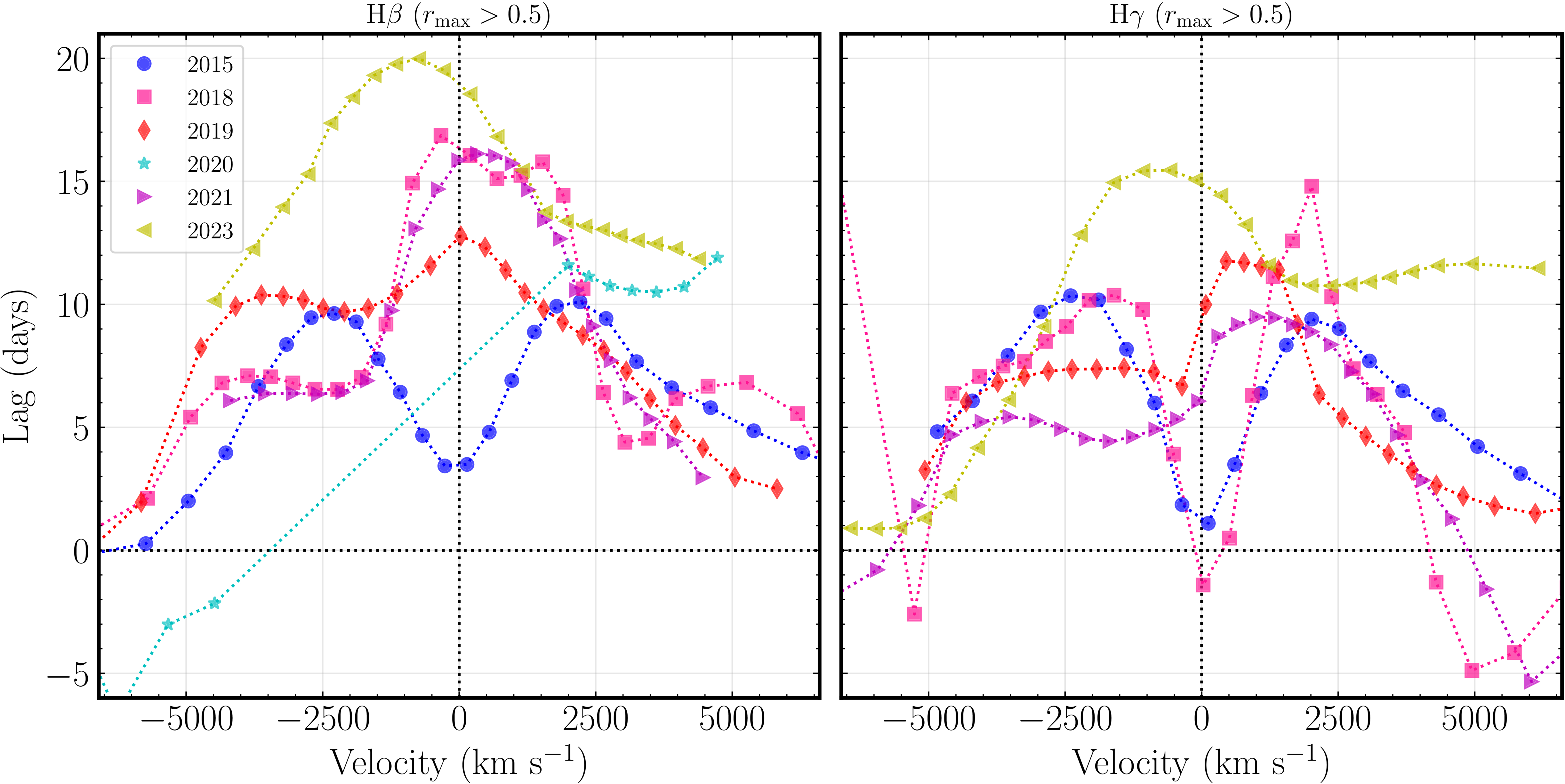
Caption: Figure 5.

The temporal variations of Hβ and Hγ VRLPs are systematically compared across six observing seasons (2015, 2018, 2019, 2020, 2021, and 2023) using 30 equal-flux velocity bins, with lags below a maximum correlation coefficient of 0.5 excluded. Vertical and horizontal dotted lines indicate the line core at zero velocity and zero time lag, respectively.

Other Images in This Article
Copyright and Terms & Conditions

Additional terms of reuse