Image Details

Choose export citation format:

Large-scale Dynamics of Winds Originating from Black Hole Accretion Flows. I. Hydrodynamics

  • Authors: Can Cui, Feng Yuan, and Bo Li

2020 The Astrophysical Journal 890 80.

  • Provider: AAS Journals

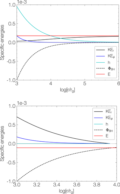
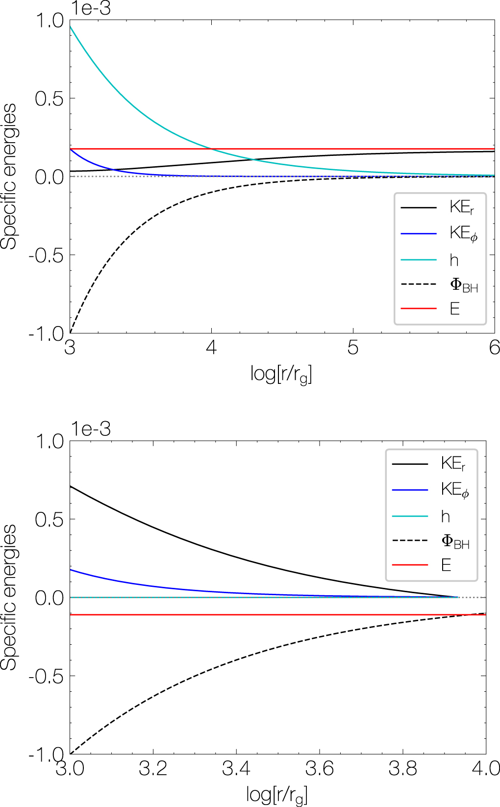
Caption: Figure 5.

Decomposition of the Bernoulli constant E into individual components for models “hot_bh_t” (left) and “‘cold_fid” (right), including the specific radial kinetic energy KEr ﹩(1/2{v}_{r}^{2})﹩, the specific rotational energy KEϕ ﹩(1/2{v}_{\phi }^{2})﹩, the specific enthalpy ﹩h={c}_{s}^{2}/(\gamma -1)﹩, and the specific potential energy ﹩{{\rm{\Phi }}}_{\mathrm{BH}}=-{GM}/(r-{r}_{s})﹩. For the right plot, a curve showing the ﹩{\sigma }^{2}\mathrm{ln}r﹩ term in Equation (5) is also shown. It almost overlaps the enthalpy curve.

Other Images in This Article
Copyright and Terms & Conditions