Image Details

Choose export citation format:

Large-scale Dynamics of Winds Originating from Black Hole Accretion Flows. I. Hydrodynamics

  • Authors: Can Cui, Feng Yuan, and Bo Li

2020 The Astrophysical Journal 890 80.

  • Provider: AAS Journals

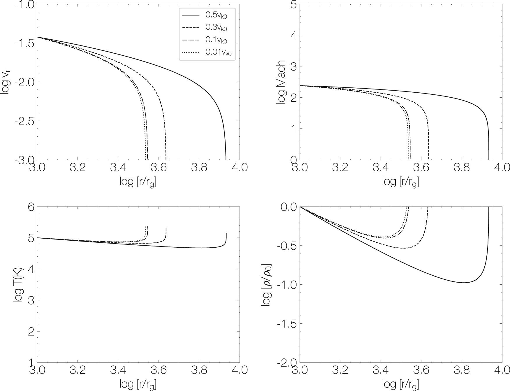
Caption: Figure 8.

Radial profiles of the radial velocity, Mach number, temperature, and density profiles of different vϕ0 for thin-disk winds (Table 1). Curves denote angular velocities of ﹩0.5{v}_{k0}﹩ (cold_fid), ﹩0.3{v}_{k0}﹩ (cold_vphi0.3), ﹩0.1{v}_{k0}﹩ (cold_vphi0.1), and ﹩0.01{v}_{k0}﹩ (cold_vphi0.01) at the inner boundary.

Other Images in This Article
Copyright and Terms & Conditions