Image Details

Choose export citation format:

Large-scale Dynamics of Winds Originating from Black Hole Accretion Flows. I. Hydrodynamics

  • Authors: Can Cui, Feng Yuan, and Bo Li

2020 The Astrophysical Journal 890 80.

  • Provider: AAS Journals

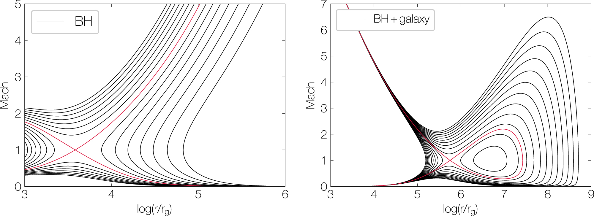
Caption: Figure 3.

Mach number of the wind as a function of radius. Different curves in each panel correspond to the same mass flux ﹩\dot{M}﹩ and angular momentum l, but different Bernoulli parameter E. The red curve in the left panel is for the “hot_bh_t” model, and the red curve in the right panel for the “hot_bhg_tb” model. Subsonic and supersonic solutions are present below and above the red curves.

Other Images in This Article
Copyright and Terms & Conditions