Image Details

Choose export citation format:

Large-scale Dynamics of Winds Originating from Black Hole Accretion Flows. I. Hydrodynamics

  • Authors: Can Cui, Feng Yuan, and Bo Li

2020 The Astrophysical Journal 890 80.

  • Provider: AAS Journals

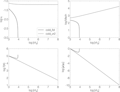
Caption: Figure 7.

Radial profiles of the radial velocity, Mach number, temperature, and density of thin-disk winds for models “cold_fid” and “cold_vr2.”

Other Images in This Article
Copyright and Terms & Conditions