Image Details

Choose export citation format:

Subsurface Magnetic Field and Flow Structure of Simulated Sunspots

  • Authors: Matthias Rempel

Rempel 2011 The Astrophysical Journal 740 15.

  • Provider: AAS Journals

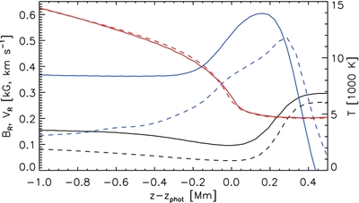
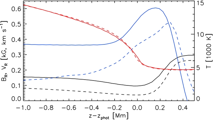
Caption: Figure 7.

Vertical profiles of the radial magnetic field strength (black), radial flow velocity (blue), and temperature (red). Solid lines show averages in between R = 13 and R = 20 Mm in Figure 6(a), dashed lines show averages in between R = 23 and R = 28 Mm in Figure 6(b). The fastest outflow velocities are found about 200 km above the τ = 1 level, where the radial magnetic field strength increases and forms a magnetic canopy overlying the plage region surrounding the sunspots.

Other Images in This Article

Show More

Copyright and Terms & Conditions