Image Details

Choose export citation format:

JWST Spectral Retrieval of Cold Directly Imaged Planet WD 0806 b and the First Measurement of Altitude-dependent Kzz in Exoplanet Atmospheres

  • Authors: Ben W.P. Lew, Thomas Roellig, Natasha E. Batalha, Nicholas F. Wogan, Thomas Greene, Mark S. Marley, Jonathan J. Fortney, Jarron Leisenring, Doug Johnstone, Matthew De Furio, Klaus Hodapp, Charles Beichman, Marcia Rieke

Ben W.P. Lew et al 2026 The Astronomical Journal 171 .

  • Provider: AAS Journals

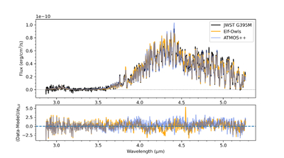
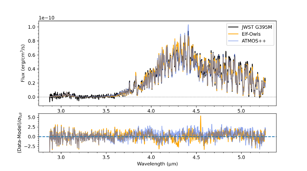
Caption: Figure 4.

Top panel: the best-fit Elf-Owl (orange line) and ATMOS++ (blue line) model spectra compared to the JWST G395M spectrum (black line). Bottom panel: the residuals between the models and data normalized by the total uncertainties. The sharp positive residual feature at 4.55 μm of Elf-Owl model arises from the model CH4 opacity line list that includes CH3D at solar mixing ratio.

Other Images in This Article

Show More

Copyright and Terms & Conditions

Additional terms of reuse