Image Details

Choose export citation format:

The Pre-He White Dwarfs in Eclipsing Binaries. V. TIC 399725538

  • Authors: Jae Woo Lee, Kyeongsoo Hong, Min-Ji Jeong, Pakakaew Rittipruk, Jang-Ho Park

Jae Woo Lee et al 2026 The Astronomical Journal 171 .

  • Provider: AAS Journals

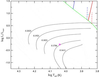
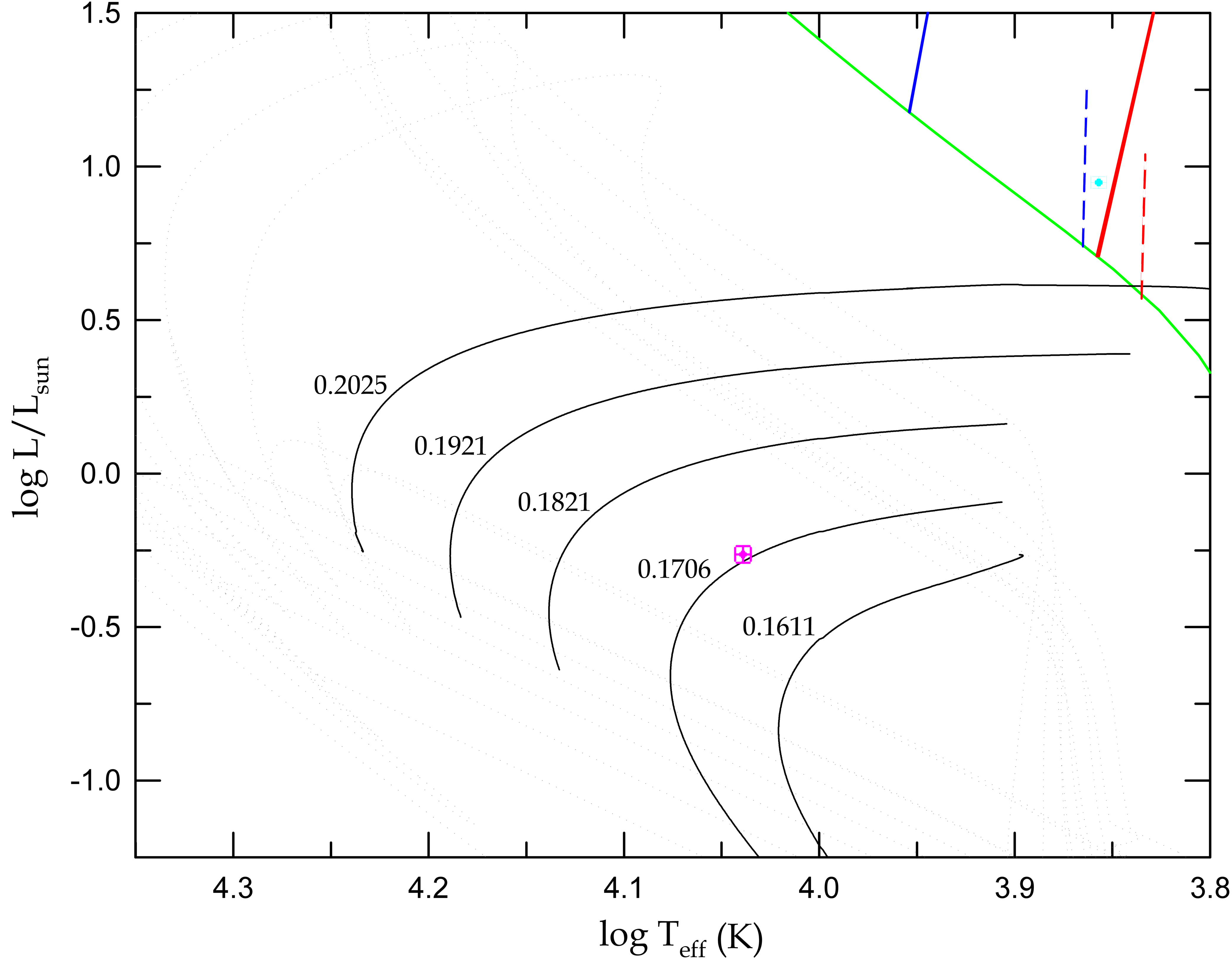
Caption: Figure 7.

Position of TIC 399725538 A (cyan cross) and B (pink cross) in the H-R diagram. The green solid line represents the zero-age main sequence, while the colored oblique solid and dashed lines indicate the instability strips of δ Sct and γ Dor stars, respectively (see J. W. Lee et al. 2024). The black solid lines denote the evolutionary sequences of ELM WDs with masses from 0.1611 M to 0.2025 M, up to the first occurrence points of CNO flashes (L. G. Althaus et al. 2013). The dotted gray line shows the full evolutionary track of the 0.2025 M model.

Other Images in This Article
Copyright and Terms & Conditions

Additional terms of reuse