Image Details

Choose export citation format:

The Pre-He White Dwarfs in Eclipsing Binaries. V. TIC 399725538

  • Authors: Jae Woo Lee, Kyeongsoo Hong, Min-Ji Jeong, Pakakaew Rittipruk, Jang-Ho Park

Jae Woo Lee et al 2026 The Astronomical Journal 171 .

  • Provider: AAS Journals

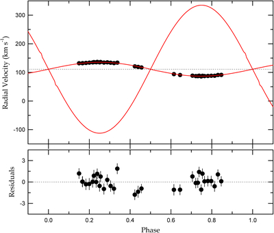
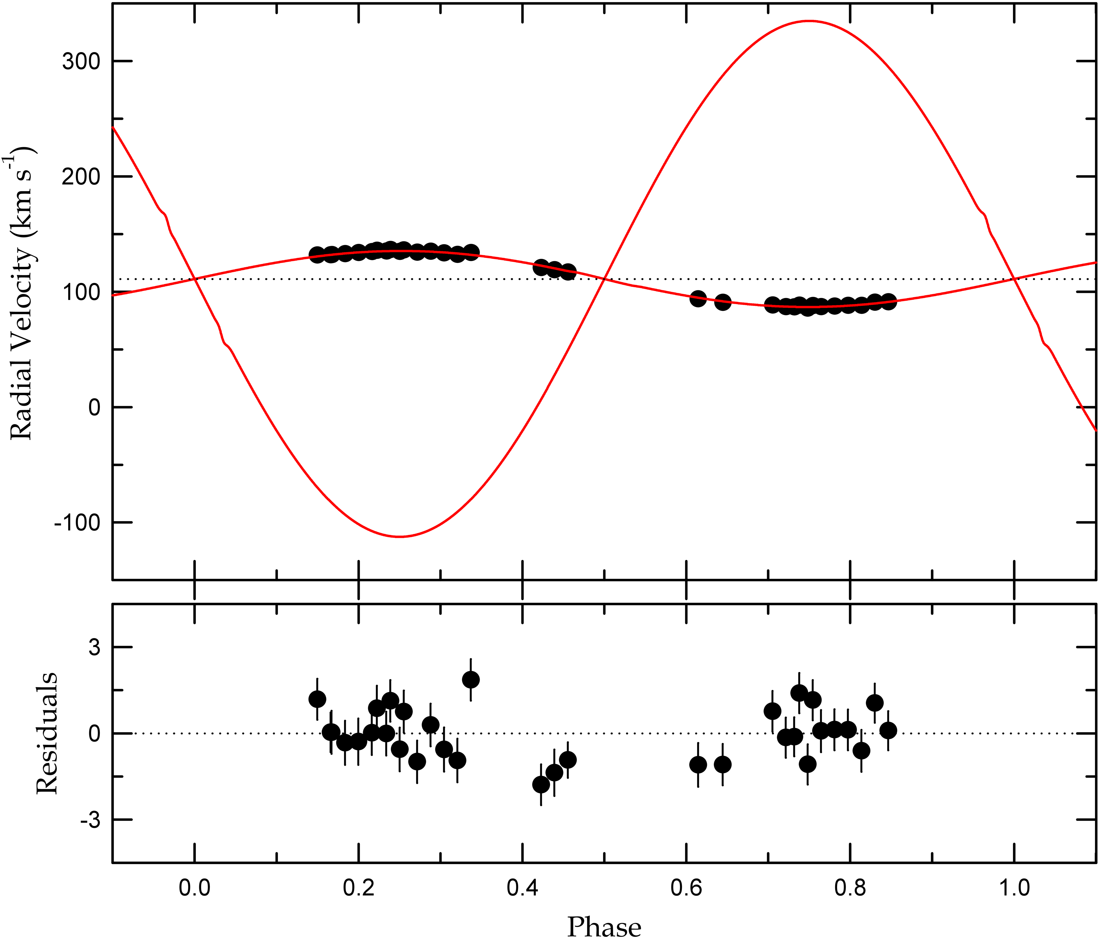
Caption: Figure 3.

Radial velocities of TIC 399725538 A. The solid curves represent the results from a consistent light and RV curve analysis, and the dotted line denotes the systemic velocity of +111.12 km s−1. The lower panel displays the residuals between observations and models.

Other Images in This Article
Copyright and Terms & Conditions

Additional terms of reuse