Image Details

Choose export citation format:

JWST COMPASS: Insights into the Systematic Noise Properties of NIRSpec/G395H from a Uniform Reanalysis of Seven Transmission Spectra

  • Authors: Tyler A. Gordon, Natalie M. Batalha, Natasha E. Batalha, Artyom Aguichine, Anna Gagnebin, James Kirk, Mercedes López-Morales, Annabella Meech, Nicholas Scarsdale, Johanna Teske, Nicole L. Wallack, Nicholas Wogan

Tyler A. Gordon et al 2026 The Astronomical Journal 171 .

  • Provider: AAS Journals

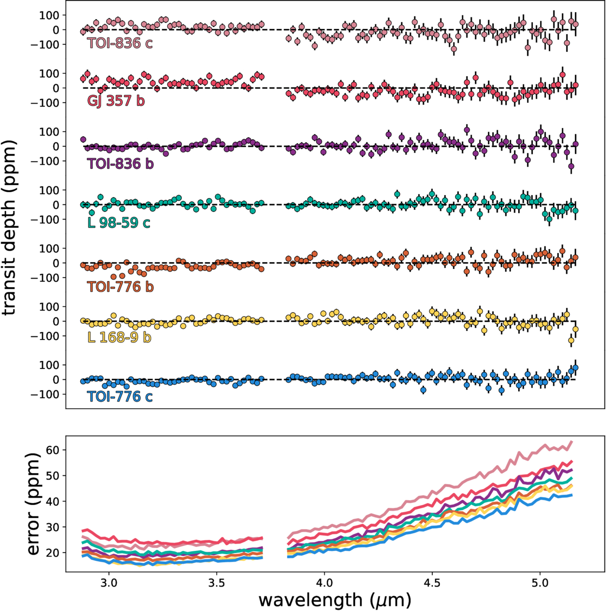
Caption: Figure 8.

Top panel: spectra for each planet in the sample after subtracting off the mean to make it easier to visualize the amplitude of the scatter. No attempt has been made to correct for offsets between detectors. Bottom panel: error on transit depth measurements in ppm. For GJ 357 b, TOI-836 b, and TOI-836 c, these are the spectra obtained using the 6-vector systematics model, while for TOI-776 b, TOI-776 c, L 98–59 c, and L 168–9 b, these are the spectra obtained with the trend-only systematics model corresponding to the red points in Figure 6.

Other Images in This Article

Show More

Copyright and Terms & Conditions

Additional terms of reuse