Image Details

Choose export citation format:

A High-resolution Near-Ultraviolet Transmission Spectrum of KELT-9b: Mg II and Fe II Escaping from the Hottest Known Giant Planet

  • Authors: Austin Baldwin, Joshua D. Lothringer, Leonardo A. dos Santos, David K. Sing, Zafar Rustamkulov, Nikolay K. Nikolov, Jeff Valenti, Hannah R. Wakeford

Austin Baldwin et al 2026 The Astronomical Journal 171 .

  • Provider: AAS Journals

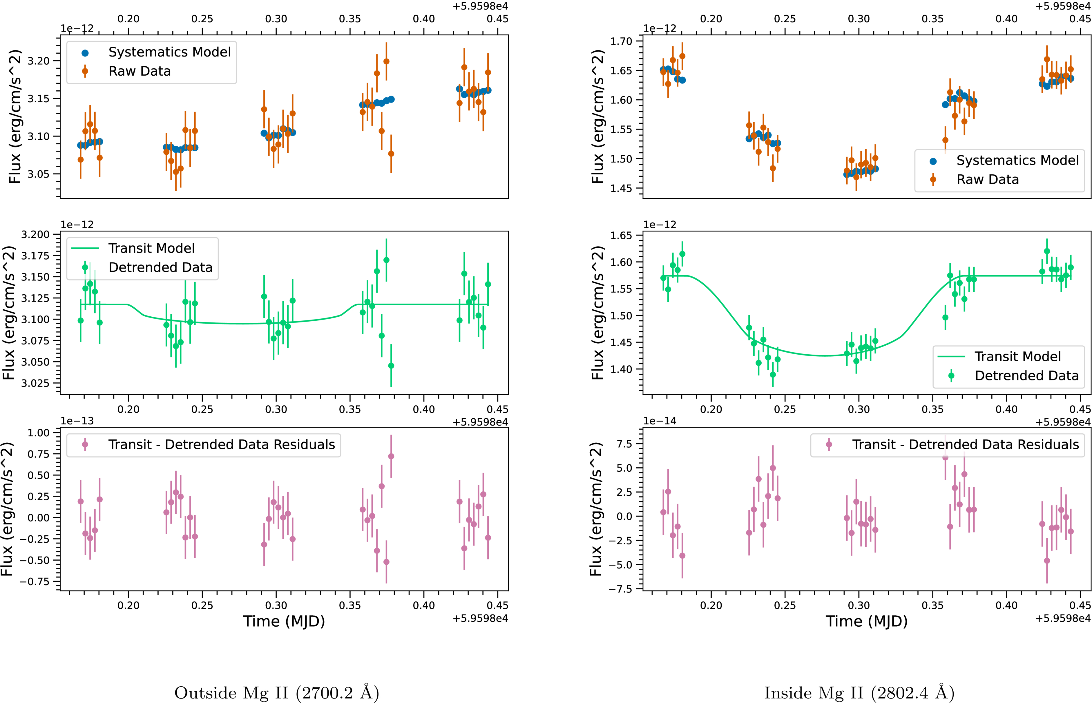
Caption: Figure 5.

Same as Figure 4, but for two 1 Å wide bins from Visit 2, respectively, outside and inside the Mg II planetary absorption.

Other Images in This Article

Show More

Copyright and Terms & Conditions

Additional terms of reuse