Image Details

Choose export citation format:

Improving Generalization and Uncertainty Quantification of Photometric Redshift Models

  • Authors: Jonathan Soriano, Tuan Do, Srinath Saikrishnan, Vikram Seenivasan, Bernie Boscoe, Jack Singal, Evan Jones

Jonathan Soriano et al 2026 The Astronomical Journal 171 .

  • Provider: AAS Journals

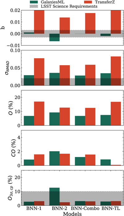
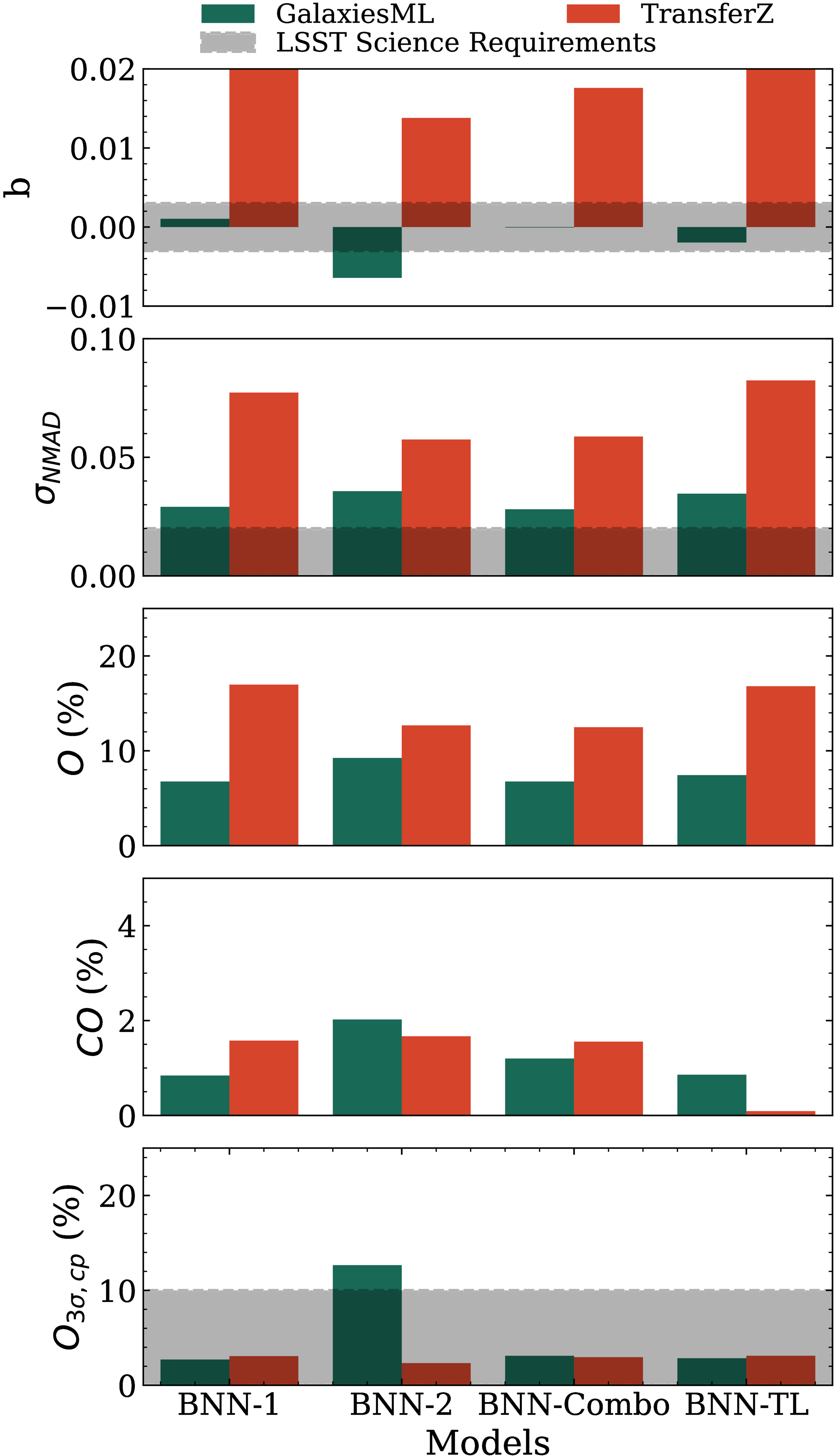
Caption: Figure 6.

A comparison of the performance of BNNs using metrics averaged over the redshift range 0.3 < z < 1.5 (see Section 3.3.1). The gray shaded area corresponds to the LSST science goals. The models, with the exception of BNN-2, meet the same LSST bias and outlier requirements. Regardless of the training approach, these models fail to perform comparably on both ground truths.

Other Images in This Article

Show More

Copyright and Terms & Conditions

Additional terms of reuse