Image Details

Choose export citation format:

Improving Generalization and Uncertainty Quantification of Photometric Redshift Models

  • Authors: Jonathan Soriano, Tuan Do, Srinath Saikrishnan, Vikram Seenivasan, Bernie Boscoe, Jack Singal, Evan Jones

Jonathan Soriano et al 2026 The Astronomical Journal 171 .

  • Provider: AAS Journals

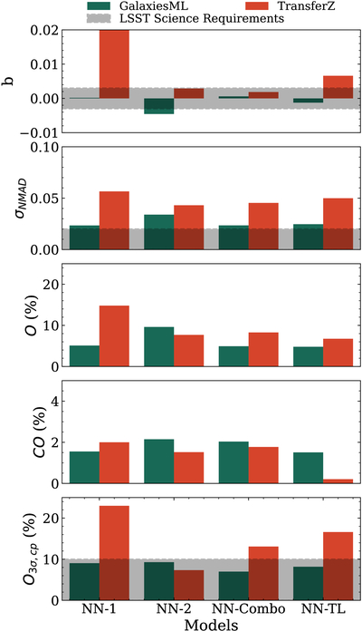
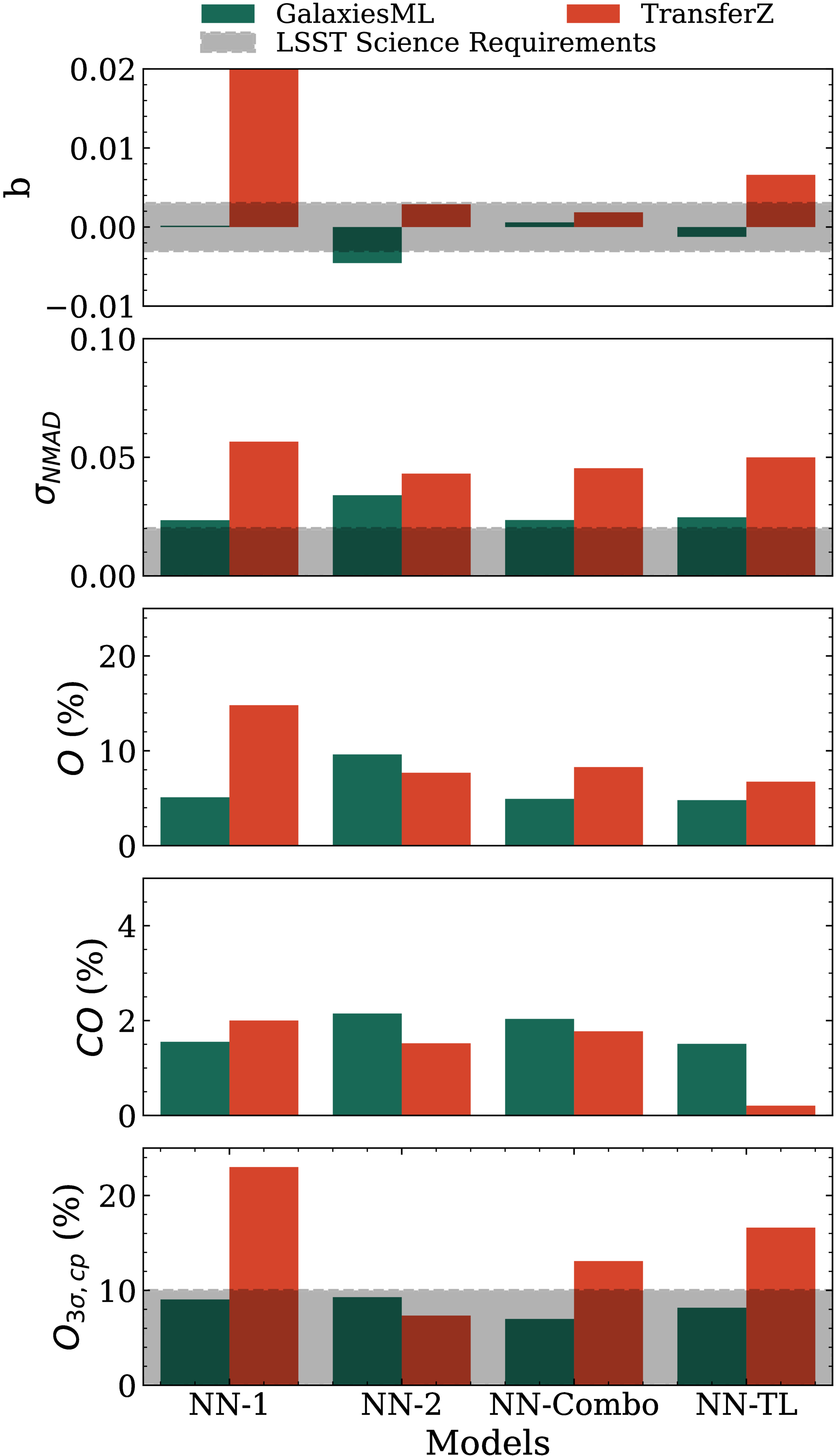
Caption: Figure 5.

A comparison of the performance of NNs using metrics averaged over the redshift range 0.3 < z < 1.5 (see Section 3.3.1). The gray shaded area corresponds to the LSST science goals. The NN-TL and NN-Combo models show comparable performance on both GalaxiesML and TransferZ, with NN-Combo meeting one more requirement than NN-TL. NN-2 performs comparably to NN-TL and NN-Combo, but with a higher outlier rate O on GalaxiesML.

Other Images in This Article

Show More

Copyright and Terms & Conditions

Additional terms of reuse