Image Details

Choose export citation format:

Paving the Road to the Habitable Worlds Observatory with High-resolution Imaging. I. New and Archival Speckle Observations of Potential HWO Target Stars

  • Authors: Zachary D. Hartman, Catherine A. Clark, Michael B. Lund, Kathryn V. Lester, José A. Caballero, Steve B. Howell, David Ciardi, Sarah Deveny, Mark E. Everett, Elise Furlan, Venu Kalari, Colin Littlefield, Andrew W. Stephens, Jennifer A. Burt, Guillaume Huber, Rachel Matson, Eric E. Mamajek, Noah Tuchow

Zachary D. Hartman et al 2026 The Astronomical Journal 171 .

  • Provider: AAS Journals

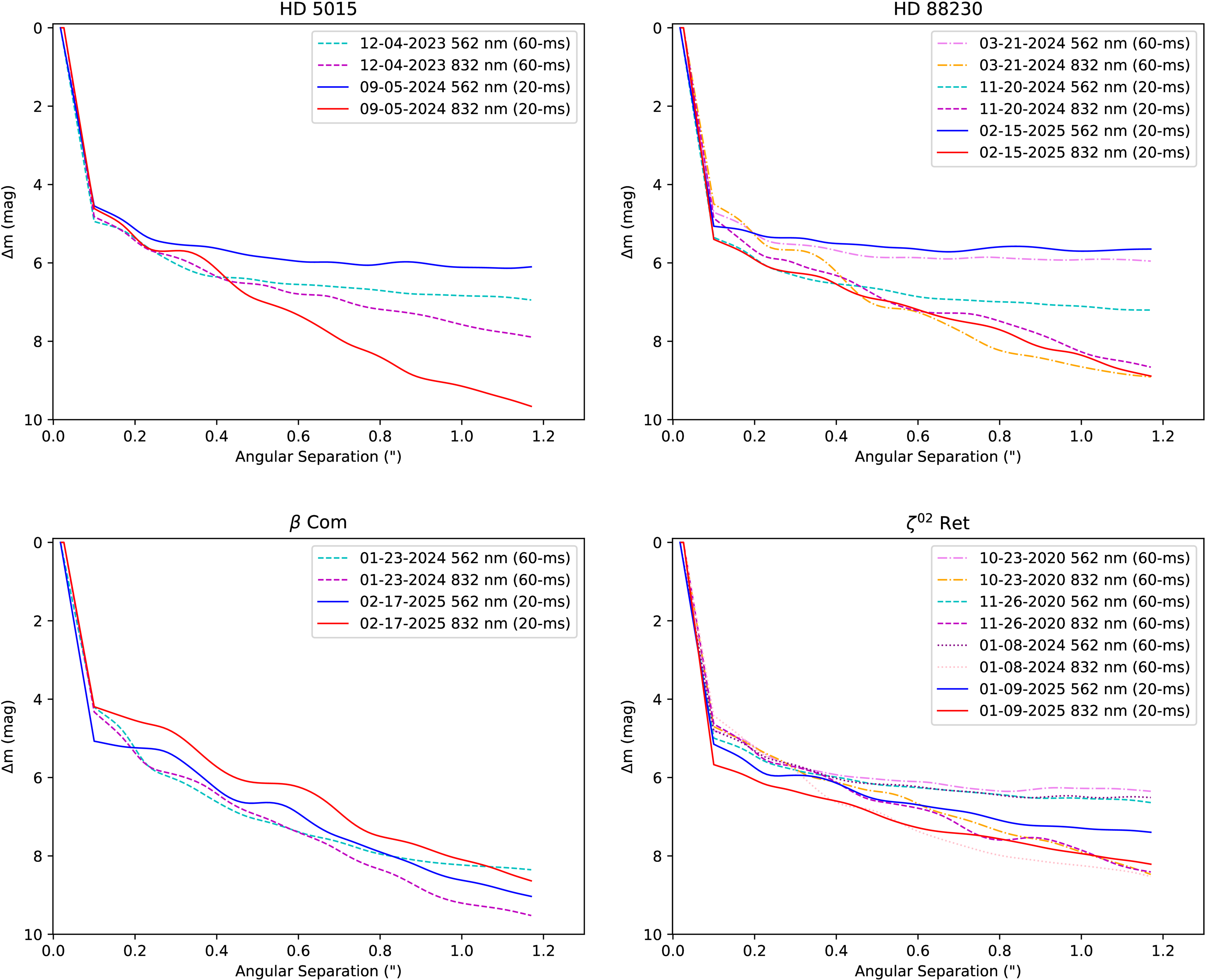
Caption: Figure 9.

20 ms and 60 ms contrast curves for HD 5015, HD 88230, β Com, and ζ02 Ret. We find that similar results are produced for both exposure times.

Other Images in This Article
Copyright and Terms & Conditions

Additional terms of reuse