Image Details

Choose export citation format:

Benchmarking Dimensionality Reduction Methods for High-dimensional ALMA Image Cubes

  • Authors: Haley N. Scolati, Ryan A. Loomis, Anthony J. Remijan, Kin Long Kelvin Lee

Haley N. Scolati et al 2026 The Astronomical Journal 171 .

  • Provider: AAS Journals

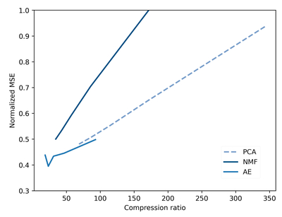
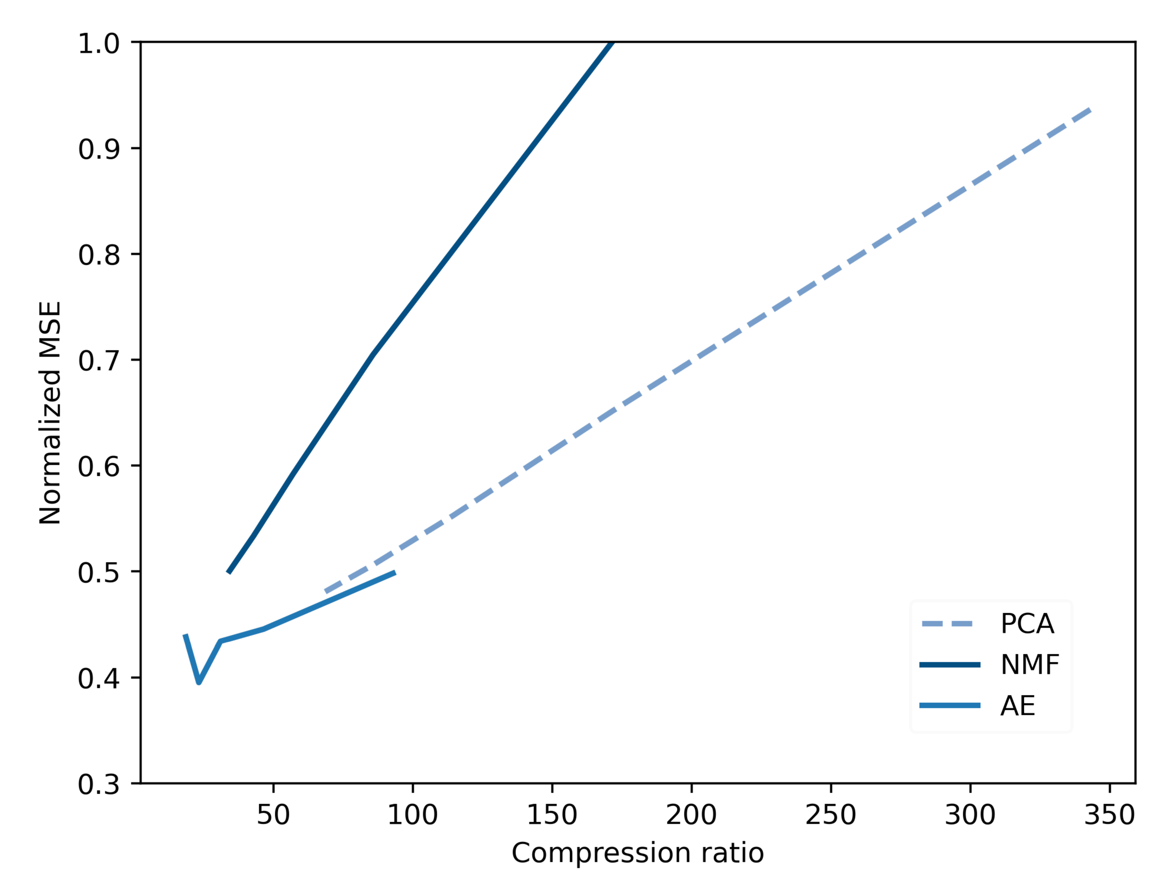
Caption: Figure 7.

Data compression of voxels in the G34.30 dataset using PCA, NMF, and the autoencoder. The efficacy of compression after initial downsampling was compared using the normalized MSE of reconstructions with a varying number of components.

Other Images in This Article

Show More

Copyright and Terms & Conditions

Additional terms of reuse