Image Details

Choose export citation format:

Dual-backend Multibeam Position-switching Targeted SETI Observations toward Nearby Active Planet-hosting Systems with FAST

  • Authors: Jian-Kang Li, Zhen-Zhao Tao, Pei Wang, Tong-Jie Zhang

Jian-Kang Li et al 2026 The Astronomical Journal 171 .

  • Provider: AAS Journals

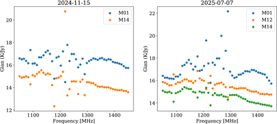
Caption: Figure 16.

Left panel: the differences in gain between beam 1 and beam 14 of FAST on 2024 November 15. Right panel: the differences in gain between beam 1, beam 12, and beam 14 of FAST on 2025 July 7 (nearest date to 2025 July 9).

Other Images in This Article

Show More

Copyright and Terms & Conditions

Additional terms of reuse