Image Details

Choose export citation format:

Ever Elusive Exospheres: One Probable Detection and Two Nondetections of Hα Transits in Young Systems

  • Authors: Reilly P. Milburn, Andrew W. Mann, Keighley Rockcliffe, Erin E. Flowers, Alexis Heitzmann, Benjamin T. Montet, George Zhou, Madyson G. Barber

Reilly P. Milburn et al 2025 The Astronomical Journal 170 .

  • Provider: AAS Journals

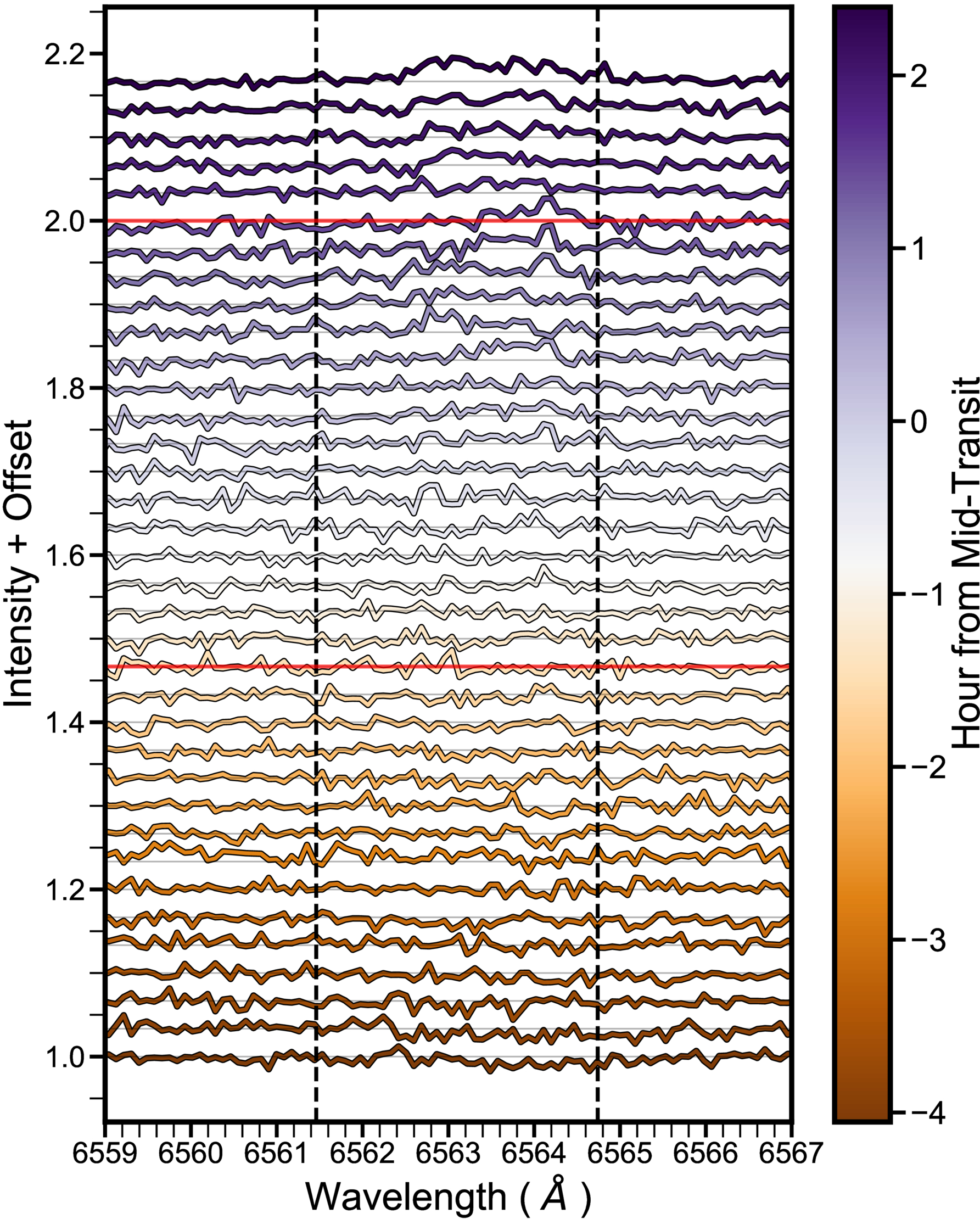
Caption: Figure 5.

Same as Figure 3 but for DS Tuc A b observations taken on 2019 August 19 UT.

Other Images in This Article

Show More

Copyright and Terms & Conditions

Additional terms of reuse