Image Details

Choose export citation format:

Stellar Populations and Molecular Gas Composition in the Low-metallicity Environment of WLM

  • Authors: Haylee N. Archer, Deidre A. Hunter, Bruce G. Elmegreen, Leslie K. Hunt, Rosalia O'Brien, Elias Brinks, Phil Cigan, Monica Rubio, Rogier A. Windhorst, Rolf A. Jansen, Elijah P. Mathews

Haylee N. Archer et al 2025 The Astronomical Journal 169 .

  • Provider: AAS Journals

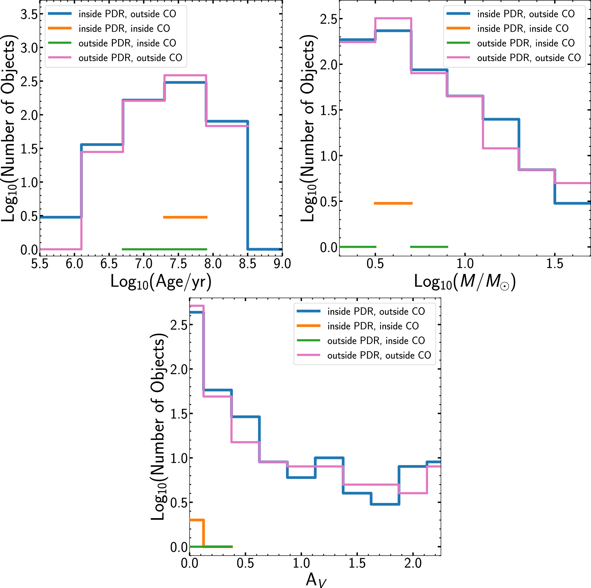
Caption: Figure 7.

Histograms of the ages (top left), masses (top right), and AV (bottom) for stars inside the PDR and outside the CO cores (blue), stars inside the PDR and projected inside the CO cores (orange), stars outside the PDR and projected inside the CO cores (green), and stars outside the PDR and outside the CO cores (pink). Clusters of closely packed stars may not be resolved into individual components.

Other Images in This Article

Show More

Copyright and Terms & Conditions

Additional terms of reuse