Image Details

Choose export citation format:

Observations with the Differential Speckle Survey Instrument. XI. First Year of Observations from Apache Point Observatory

  • Authors: James W. Davidson, Elliott P. Horch, Steven R. Majewski, Evan Fagan, Cassiopeia N. Adams, Torrie Sutherland, Robert F. Wilson, D. Xavier Lesley, Richard A. Pellegrino, Jonathan P. Leonard, John C. Wilson, Nancy J. Chanover, Peter Dow, Todd J. Henry, William Ketzeback, Devin McDonald, Russet McMillan, Jack Dembicky, Riley A. DeColibus, Candace Gray, Amanda Townsend

James W. Davidson et al 2024 The Astronomical Journal 167 .

  • Provider: AAS Journals

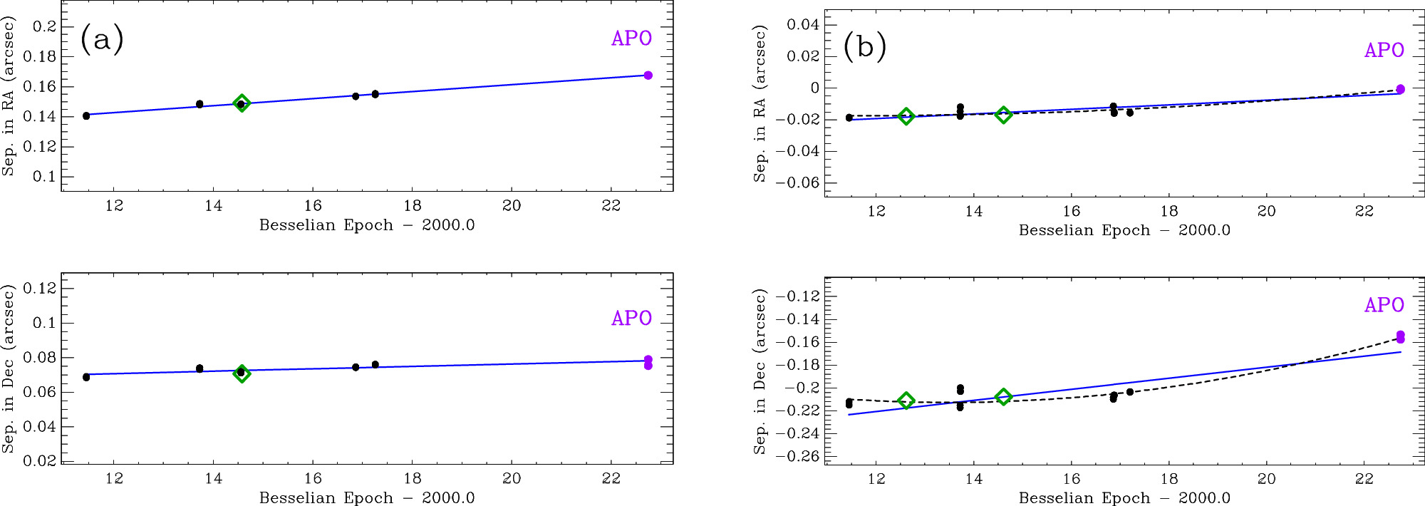
Caption: Figure 13.

Motion of the stellar secondary relative to the primary over time for (a) Kepler-449, and (b) Kepler-907 (see Section 7.2). In both plots, the filled circles represent observations taken earlier in our program and reported in Colton et al. (2021), the purple filled circles on the right marked “APO” indicate the new data appearing in Table 3, and green diamonds are results from Kraus et al. (2016). The blue lines indicate the best-fit linear solution to the speckle data on our program, and for Kepler-907, the dashed curves indicate the best-fit parabolic solution.

Other Images in This Article

Show More

Copyright and Terms & Conditions

Additional terms of reuse