Image Details

Choose export citation format:

The Thermal Equilibrium Mass-loss Model and Its Applications in Binary Evolution

  • Authors: Hongwei Ge, Ronald F Webbink, and Zhanwen Han

2020 The Astrophysical Journal Supplement Series 249 9.

  • Provider: AAS Journals

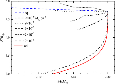
Caption: Figure 4.

Radius response to different-timescale, adiabatic (ad), and thermal equilibrium (eq) mass loss of a 3.2 M terminal main-sequence (TMS) star. The red solid line and blue dashed line show the radius response to adiabatic mass loss and thermal equilibrium mass loss, respectively. Black lines represent how the radius responds to time-dependent calculations with constant mass-loss rates of 9 × 10−9, 9 × 10−8, ..., 9 × 10−5 M yr−1. For this 3.2 M and 4.73 R TMS star, the stellar radius response to thermal equilibrium mass loss lies between thermal-timescale and nuclear-timescale mass loss (﹩{\dot{M}}_{\mathrm{nuc}}\simeq -9\times {10}^{-9}\,{M}_{\odot }\,{\mathrm{yr}}^{-1};{\dot{M}}_{\mathrm{KH}}\simeq -9\times {10}^{-6}\,{M}_{\odot }/{\mathrm{yr}}^{-1}﹩). We notice that some time-dependent calculations are stopped due to numerical reasons.

Other Images in This Article
Copyright and Terms & Conditions