Image Details

Choose export citation format:

The Thermal Equilibrium Mass-loss Model and Its Applications in Binary Evolution

  • Authors: Hongwei Ge, Ronald F Webbink, and Zhanwen Han

2020 The Astrophysical Journal Supplement Series 249 9.

  • Provider: AAS Journals

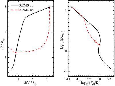
Caption: Figure 2.

The response of a 3.2 M and 2.99 R main-sequence (MS) star to thermal equilibrium (eq) mass loss (solid black line) and adiabatic (ad) mass loss (red dashed line). The surface radius as a function of the remnant mass and the donor star’s evolution in the Hertzsprung–Russell diagram are shown in the left and the right panels, respectively. The black dot marks the starting point of mass loss in each panel.

Other Images in This Article
Copyright and Terms & Conditions