Image Details

Choose export citation format:

Helium Fluxes Measured by the PAMELA Experiment from the Minimum to the Maximum Solar Activity for Solar Cycle 24

  • Authors: N. Marcelli, M. Boezio, A. Lenni, W. Menn, R. Munini, O.P. M. Aslam, D. Bisschoff, M.D. Ngobeni, M.S. Potgieter, O. Adriani, G.C. Barbarino, G.A. Bazilevskaya, R. Bellotti, E.A. Bogomolov, M. Bongi, V. Bonvicini, A. Bruno, F. Cafagna, D. Campana, P. Carlson, M. Casolino, G. Castellini, C. De Santis, A.M. Galper, S.V. Koldashov, S. Koldobskiy, A.N. Kvashnin, A.A. Leonov, V.V. Malakhov, L. Marcelli, M. Martucci, A.G. Mayorov, M. Mergè, E. Mocchiutti, A. Monaco, N. Mori, V.V. Mikhailov, G. Osteria, B. Panico, P. Papini, M. Pearce, P. Picozza, M. Ricci, S.B. Ricciarini, M. Simon, A. Sotgiu, R. Sparvoli, P. Spillantini, Y.I. Stozhkov, A. Vacchi, E. Vannuccini, G.I. Vasilyev, S.A. Voronov, Y.T. Yurkin, G. Zampa, and N. Zampa

2022 The Astrophysical Journal Letters 925 L24.

  • Provider: AAS Journals

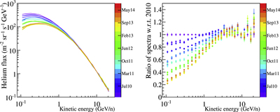
Caption: Figure 1.

Left panel: the evolution of the helium energy spectrum as intensities approached the period of maximum solar activity, from 2010 January (violet) to 2014 September (red). Right panel: the ratio of the measured spectra with respect to the spectrum of 2010 January. The color code is the same as the right panel.

Other Images in This Article
Copyright and Terms & Conditions