Image Details

Choose export citation format:

The Mass Fallback Rate of the Debris in Relativistic Stellar Tidal Disruption Events

  • Authors: T. Jankovič, A. Gomboc

T. Jankovič and A. Gomboc 2023 The Astrophysical Journal 946 .

  • Provider: AAS Journals

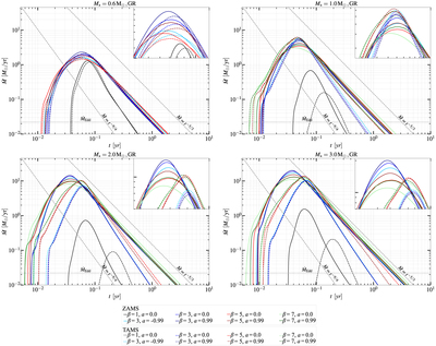
Caption: Figure 6.

﹩\dot{M}﹩ for stars with different masses and ages. The horizontal dotted line indicates the Eddington accretion rate of a 106 M SMBH. The diagonal dotted lines represent power-law curves: t −5/3 for total stellar disruptions and t −9/4 for partial stellar disruptions. The boxes in the top right corners of the individual plots show a zoomed-in region near the peak of the ﹩\dot{M}﹩ curves.

Other Images in This Article
Copyright and Terms & Conditions

Additional terms of reuse