Image Details

Choose export citation format:

The Mass Fallback Rate of the Debris in Relativistic Stellar Tidal Disruption Events

  • Authors: T. Jankovič, A. Gomboc

T. Jankovič and A. Gomboc 2023 The Astrophysical Journal 946 .

  • Provider: AAS Journals

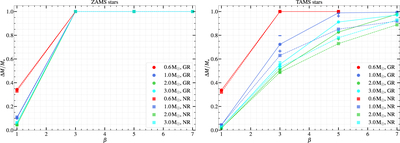
Caption: Figure 2.

Fraction of the initial stellar mass that is not bound to the star for ZAMS (left) and TAMS (right) stars for different M , a, and β. The “+” and “-” symbols indicate the results from the disruptions of stars on prograde and retrograde orbits, respectively. The results for the GR and NR simulations are indicated with “•” and “▪” symbols, respectively. Values of ΔM/M ≈ 1 correspond to total disruptions.

Other Images in This Article
Copyright and Terms & Conditions

Additional terms of reuse