Image Details

Choose export citation format:

NuSTAR Hard X-Ray Spectra of Radio Galaxies

  • Authors: Jialai Kang, Junxian Wang, and Wenyong Kang

2020 The Astrophysical Journal 901 111.

  • Provider: AAS Journals

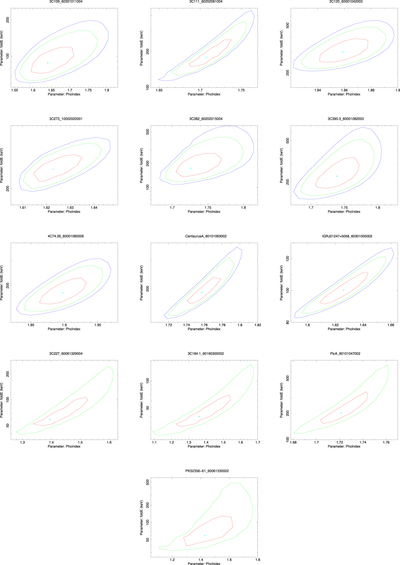
Caption: Figure C1.

Contour plots of Γ vs. Ecut of sources with Ecut detected. For sources with multiple observations, the best-constrained one is plotted. Red, green, and blue represent 1σ, 90%, and 2σ (when available) confidence levels, respectively.

Other Images in This Article
Copyright and Terms & Conditions