Image Details

Choose export citation format:

THE CARNEGIE-CHICAGO HUBBLE PROGRAM. I. AN INDEPENDENT APPROACH TO THE EXTRAGALACTIC DISTANCE SCALE USING ONLY POPULATION II DISTANCE INDICATORS

  • Authors: Rachael L. Beaton, Wendy L. Freedman, Barry F. Madore, Giuseppe Bono, Erika K. Carlson, Gisella Clementini, Meredith J. Durbin, Alessia Garofalo, Dylan Hatt, In Sung Jang, Juna A. Kollmeier, Myung Gyoon Lee, Andrew J. Monson, Jeffrey A. Rich, Victoria Scowcroft, Mark Seibert, Laura Sturch, and Soung-Chul Yang

2016 The Astrophysical Journal 832 210.

  • Provider: AAS Journals

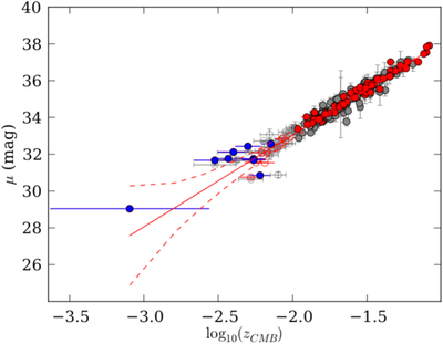
Caption: Figure 7.

Illustrative SNe Ia Hubble diagram comparing the distance modulus and redshift for SNe Ia. Gray symbols are data from the literature (primarily from the CfA4 data release, Hicken et al. 2012). Red symbols are those supernovae included in the CSP-1 (e.g., Stritzinger et al. 2011). Blue symbols are the local supernova calibrators, demonstrating the larger scatter induced by local large-scale flows for nearby objects.

Other Images in This Article
Copyright and Terms & Conditions