Image Details

Choose export citation format:

THE AGE OF THE YOUNG BULGE-LIKE POPULATION IN THE STELLAR SYSTEM TERZAN 5: LINKING THE GALACTIC BULGE TO THE HIGH-Z UNIVERSE

  • Authors: F. R. Ferraro, D. Massari, E. Dalessandro, B. Lanzoni, L. Origlia, R. M. Rich, and A. Mucciarelli

2016 The Astrophysical Journal 828 75.

  • Provider: AAS Journals

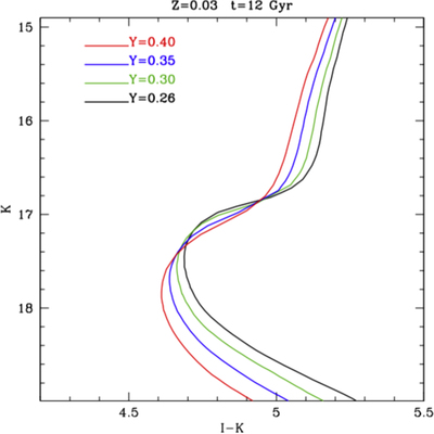
Caption: Figure 6.

Effect of increasing the helium abundance at fixed age at the MS-TO/SGB level. For illustrative purposes, the MS-TO/SGB region of isochrones (Girardi et al. 2002) calculated at fixed age (12 Gyr) and metallicity (Z = 0.03) is shown for increasing helium abundances (see the labels). An increased helium abundance makes the MS-TO/SGB fainter.

Other Images in This Article
Copyright and Terms & Conditions