Image Details
 
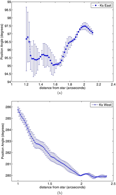
                    Caption: Figure 4.
(a) P.A. of the eastern side of the disk at the Ks band as a function of distance from the star. See the text for methodology. The P.A. increases with increasing distance from the star; over the same stellocentric distances a similar trend was observed at 1.1 μm (Debes et al. 2008). (b) Same as above, except for the western side. The P.A. increases closer to the star, as is seen in the Debes et al. (2008) 1.1 μm band data.
© 2012. The American Astronomical Society. All rights reserved.