Image Details

Choose export citation format:

Possible Detection of an Emission Cyclotron Resonance Scattering Feature from the Accretion-powered Pulsar 4U 1626–67

  • Authors: W. B. Iwakiri, Y. Terada, T. Mihara, L. Angelini, M. S. Tashiro, T. Enoto, S. Yamada, K. Makishima, M. Nakajima, and A. Yoshida

Iwakiri et al. 2012 The Astrophysical Journal 751 35.

  • Provider: AAS Journals

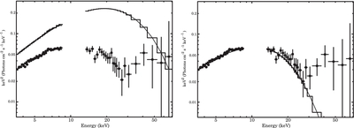
Caption: Figure 12.

Dim phase ν Fν spectra of 4U 1626−67 obtained with XIS and HXD. The NPEX-only ( A p = 0) models are shown in the histogram. Left: when fitted by NPEX ( A p = 0) with GABS model and (right) when fitted by NPEX ( A p = 0) and Gaussian models.

Other Images in This Article

Show More

Copyright and Terms & Conditions