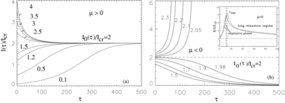
Image Details
 
                    Caption: Figure 10.
Evolution of coronal loops for different initial conditions. Left panel: the μ > 0 regime corresponds to Poincaré limit cycle;
   coronal loops with the initial current amplitude higher than critical value, 
   I
   0/
   I
   cr > 2, quickly approach the quasi-stable state impulsively releasing the excess of energy. Loops with the initial current amplitude
   
   I
   0/
   I
   cr < 2 gradually gain energy. Right panel: at μ < 0 loops with the initial current amplitude, 
   I
   0/
   I
   cr > 2, show the explosive growth of currents; higher are the initial currents, shorter is the "explosive" time (major flare).
   Loops with the initial current 
   I
   0/
   I
   cr < 2 are in a gradually decaying state (after Ryutova 2006). Inset shows stabilization of explosive phase and formation of
   long-living self-organized state characterized by μ 
    0 (cf. 
   GOES X-ray plot in Figure 
   10).
 0 (cf. 
   GOES X-ray plot in Figure 
   10).
© 2011. The American Astronomical Society. All rights reserved.