Image Details

Choose export citation format:

X-Ray Emission and Corona of the Young Intermediate-Mass Binary θ1 Ori E

  • Authors: David P. Huenemoerder, Norbert S. Schulz, Paola Testa, Anthony Kesich, and Claude R. Canizares

HUENEMOERDER et al. 2009 The Astrophysical Journal 707 942.

  • Provider: AAS Journals

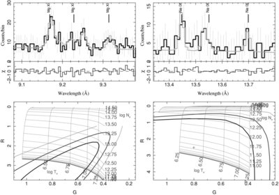
Caption: Figure 5.

Upper plots show the Mg xi (left) and Ne ix (right) triplets counts spectra (black histogram), a multi-Gaussian fit (gray line), and residuals (lower panels of top plots). The positions of the triplet components are marked. The lower plots show the fits to the G (=( f + i)/ r) and R (= f/ i) ratios, which are primarily temperature and density sensitive, respectively, as given by the grid. The contours are the 1σ, 2σ, and 3σ levels from lower/inner to upper/outer contours.

Other Images in This Article
Copyright and Terms & Conditions