Image Details

Choose export citation format:

The Unorthodox Orbits of Substructure Halos

  • Authors: Aaron D. Ludlow, Julio F. Navarro, Volker Springel, Adrian Jenkins, Carlos S. Frenk, and Amina Helmi

LUDLOW et al. 2009 The Astrophysical Journal 692 931.

  • Provider: AAS Journals

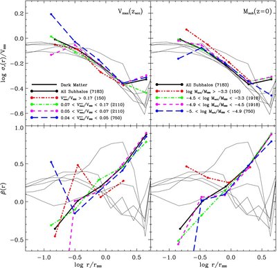
Caption: Figure 7.

Radial velocity dispersion and anisotropy profiles for DM (thin black lines) and associated subhalos (thick colored lines). Symbols are described in the legend and are the same as in Figure 6. Note that the mass-dependent bias shown in Figure 6 is also reflected in the subhalo kinematics: low-mass subhalos tend to have higher velocity dispersions than their high-mass counterparts. This bias is clearer when measuring subhalo mass by the peak circular velocity at accretion time, V acc max, rather than by the self-bound mass at z = 0, M sub. Note as well that subhalos tend to be on orbits less radially biased than the DM, especially near the center. This is presumably because subhalos on tangentially biased orbits avoid the innermost regions of the main halo, thus enhancing their survival probability.

Other Images in This Article
Copyright and Terms & Conditions