Image Details

Choose export citation format:

Short-duration Backward Integrations as Phase-space Diagnostics: A Sequence-based Machine Learning Approach to Near-Earth Asteroid Triage

  • Authors: Chetan Abhijnanam Bora, Badam Singh Kushvah

Chetan Abhijnanam Bora and Badam Singh Kushvah 2026 The Planetary Science Journal 7 .

  • Provider: AAS Journals

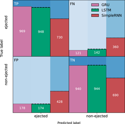
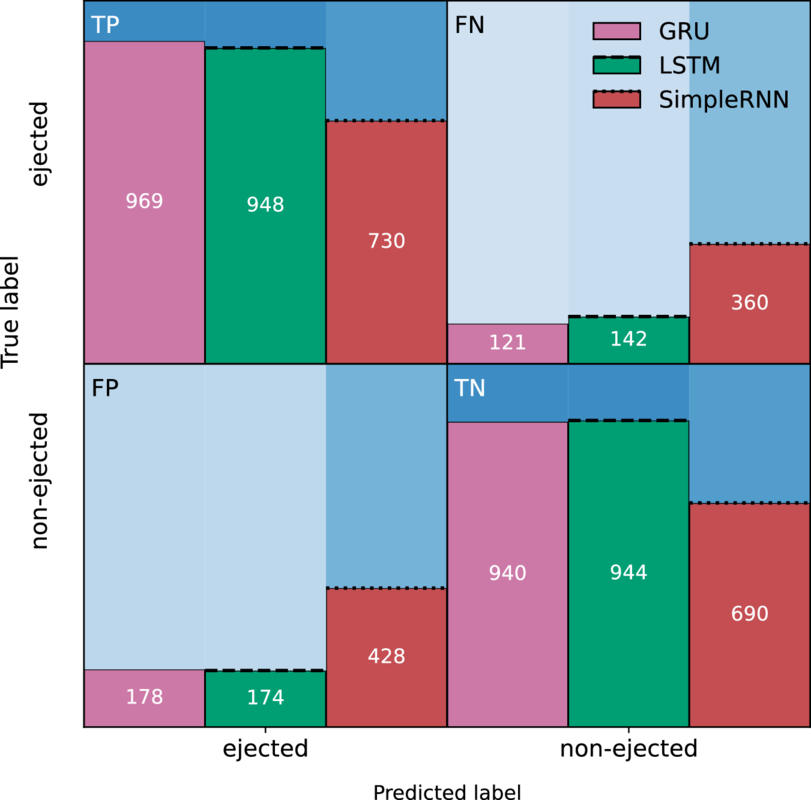
Caption: Figure 4.

Confusion-matrix-structured comparison of classification outcomes for the GRU, LSTM, and SimpleRNN models. Each quadrant corresponds to a confusion-matrix cell (true positive, false negative, false positive, true negative), with color-coded bars showing the results for each model; bar heights are normalized within each true-class row, while the numbers denote absolute counts.

Other Images in This Article
Copyright and Terms & Conditions

Additional terms of reuse