Image Details

Choose export citation format:

Raman Spectroscopy of Salt Deposits from the Simulated Subsurface Ocean of Enceladus

  • Authors: Jun Takeshita, Yuichiro Cho, Haruhisa Tabata, Yoshio Takahashi, Daigo Shoji, Seiji Sugita

Jun Takeshita et al 2026 The Planetary Science Journal 7 .

  • Provider: AAS Journals

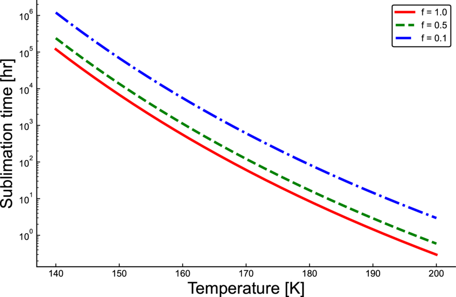
Caption: Figure 5.

Sublimation time as a function of temperature for different coating suppression factors (f = 1.0, 0.5, and 0.1). Salt coatings substantially increase the survival time of ice under Enceladus-like conditions.

Other Images in This Article
Copyright and Terms & Conditions

Additional terms of reuse