Image Details

Choose export citation format:

The Effects of Propane on Nitrogen–Hydrocarbon Mixtures Relevant to Titan’s Lakes and Seas

  • Authors: Cecilia Thieberger, Jennifer Hanley, Sugata P. Tan, Will M. Grundy, Jordan Steckloff, Gerrick Lindberg, Anna Engle, Stephen Tegler

Cecilia Thieberger et al 2026 The Planetary Science Journal 7 .

  • Provider: AAS Journals

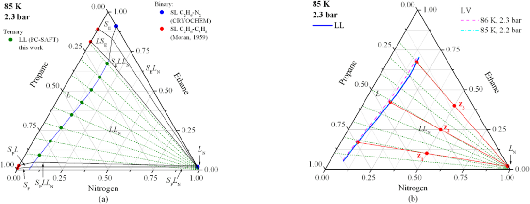
Caption: Figure C1.

Composition diagram of N2/C2H6/C3H8 at 85 K and 2.3 bar: (a) plotted with all phases—regions with solid phases are for estimates only (see text); (b) plotted only in the two-phase LL region.

Other Images in This Article

Show More

Copyright and Terms & Conditions

Additional terms of reuse