Image Details

Choose export citation format:

Synchronization of a Tidal Binary by Inward Orbital Migration. The Case of Pluto and Charon

  • Authors: Michael Efroimsky, Michaela Walterová, Yeva Gevorgyan, Amirhossein Bagheri, Valeri V. Makarov, Amir Khan

Michael Efroimsky et al 2026 The Planetary Science Journal 7 .

  • Provider: AAS Journals

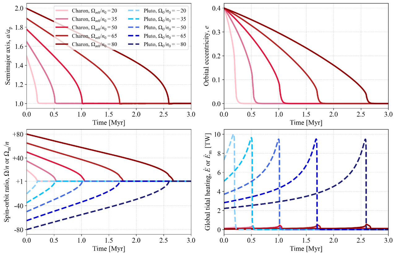
Caption: Figure 7.

The same as Figure 3 but for a fully frozen Charon (the entire hydrosphere consists of ice with viscosity ηice = 1014 Pa s).

Other Images in This Article
Copyright and Terms & Conditions

Additional terms of reuse