Image Details

Choose export citation format:

Synchronization of a Tidal Binary by Inward Orbital Migration. The Case of Pluto and Charon

  • Authors: Michael Efroimsky, Michaela Walterová, Yeva Gevorgyan, Amirhossein Bagheri, Valeri V. Makarov, Amir Khan

Michael Efroimsky et al 2026 The Planetary Science Journal 7 .

  • Provider: AAS Journals

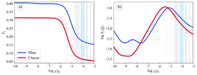
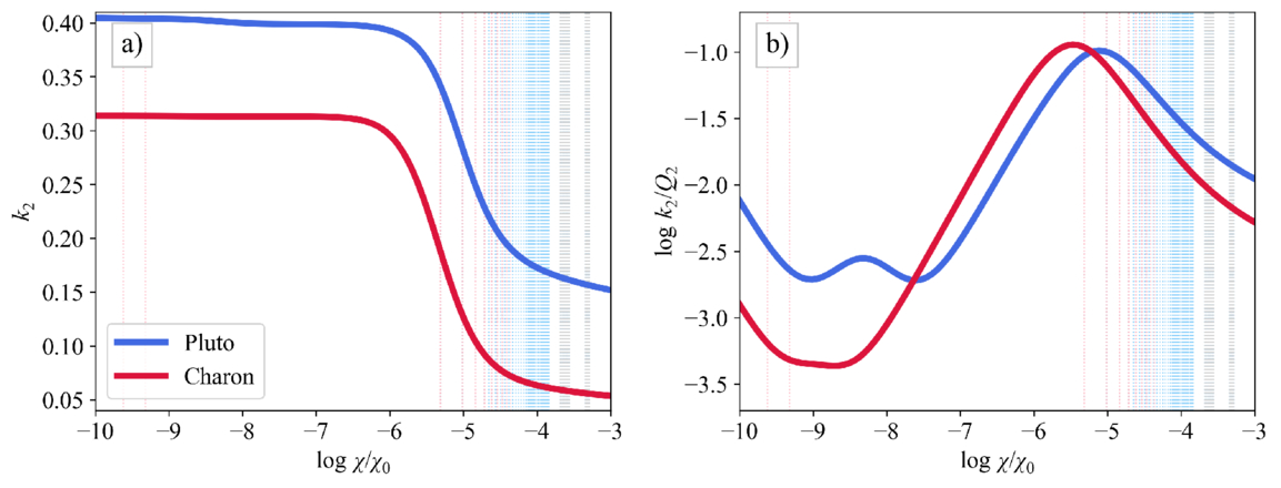
Caption: Figure 2.

Panel (a): the absolute value of the tidal potential Love number k2; panel (b): the logarithm of the tidal quality function ∣K2∣ = k2/Q2 as a function of the physical frequency χ for the three-layered models of Pluto and Charon presented in Table 4. The reference frequency is χ0 = 1 rad s−1. The vertical lines indicate the frequencies relevant at the beginning of the evolution (gray dotted line, similar values for both bodies) and for the spin-orbital configuration after 1 Myr (light-blue and pink dotted lines for Pluto and Charon, respectively) in the case with Ω0/n0 = 50 (Case 1, Table 3). They serve as an illustration of the typical tidal frequencies rather than an overview of all frequencies used.

Other Images in This Article
Copyright and Terms & Conditions

Additional terms of reuse