Image Details

Choose export citation format:

Synchronization of a Tidal Binary by Inward Orbital Migration. The Case of Pluto and Charon

  • Authors: Michael Efroimsky, Michaela Walterová, Yeva Gevorgyan, Amirhossein Bagheri, Valeri V. Makarov, Amir Khan

Michael Efroimsky et al 2026 The Planetary Science Journal 7 .

  • Provider: AAS Journals

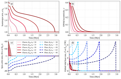
Caption: Figure 3.

Tidal evolution of the Pluto–Charon system. An initially prograde Pluto and initially retrograde Charon are considered, with various initial rotation rates and a fixed initial eccentricity e0 = 0.4. Panel (a) semimajor axis ratio a/ap (where ap is the present semimajor axis value); panel (b): eccentricity; panel (c): spin rates Ω/n (shades of blue) and Ωm/n (shades of red); panel (d): tidally dissipated power, ﹩\dot{E}﹩ and ﹩{\dot{E}}_{{\rm{m}}}﹩. In accordance with the adopted sign convention, panel (c) shows the spin rate Ω of an actually prograde Pluto as negative, while the depicted spin Ωm of a retrograde Charon is positive.

Other Images in This Article
Copyright and Terms & Conditions

Additional terms of reuse