Image Details

Choose export citation format:

Synchronization of a Tidal Binary by Inward Orbital Migration. The Case of Pluto and Charon

  • Authors: Michael Efroimsky, Michaela Walterová, Yeva Gevorgyan, Amirhossein Bagheri, Valeri V. Makarov, Amir Khan

Michael Efroimsky et al 2026 The Planetary Science Journal 7 .

  • Provider: AAS Journals

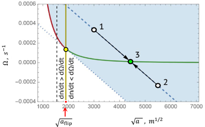
Caption: Figure 1.

The cubical hyperbola represents all synchronous states given by Equation (10), with the green-colored branch indicating long-term stable equilibria, and the red-colored part showing the loci of intrinsically unstable equilibria. The blue dashed and dotted lines represent two evolution tracks described by Equation (7). The track on the right results in a stable capture of Pluto (the green disk). The one on the left traverses the critical point (the yellow disk). The vertical dashed line corresponds to the Roche limit. The light-blue shaded area of the plot marks all initial conditions that may result in long-term synchronization of Pluto. The states marked with white disks and labeled “1” and “2” are possible initial conditions that could lead to the current state of the system, which is shown with the green disk and labeled “3.” The 1 → 3 dynamical history corresponds to Scenario 1, with a tidally receding moon (Equations (2–4)). The 2 → 3 track illustrates Scenario 2, with a moon tidally approaching the planet (Equations (5–6)). The semimajor axis value corresponding to the critical point (the yellow disk) is named aflip, because in Scenario 1 the tidal recession of a moon is faster than the growth of the synchronous radius, insofar as a < aflip. On crossing aflip, the growth of the synchronous radius becomes faster, and it catches up with the moon at point “3” (the green disk). Crossing of aflip can happen also when synchronization is not achieved, i.e., when the track misses the hyperbola below the tangent point, going from right to left and up. The difference ﹩\dot{\,{\rm{\Omega }}\,}-\,\dot{n\,}﹩ between the derivatives still changes sign there, outside the scenarios of synchronization.

Other Images in This Article
Copyright and Terms & Conditions

Additional terms of reuse