Image Details

Choose export citation format:

Vertical Temperature Structure in Io’s Atmosphere from ALMA SO2 Observations

  • Authors: Timothy N. Proudkii, Katherine de Kleer, Imke de Pater, Alexander E. Thelen, Statia Luszcz-Cook, Emmanuel Lellouch, Arielle Moullet

Timothy N. Proudkii et al 2026 The Planetary Science Journal 7 .

  • Provider: AAS Journals

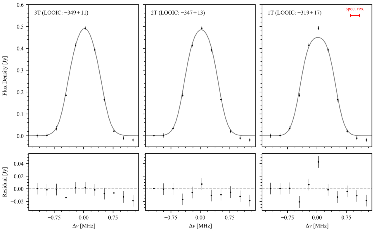
Caption: Figure 2.

Model comparison for the SO2 transition at 430.194 GHz from M22-L. The observed spectrum (black points with error bars) is overlaid with best-fit model spectra for the three tested TPs: 3T (left), 2T (middle), and 1T (right). The red bar in the upper right corner of the right column indicates the ALMA spectral resolution (FWHM). Residuals are shown in the bottom row.

Other Images in This Article
Copyright and Terms & Conditions

Additional terms of reuse