Image Details

Choose export citation format:

Observations of Loki Patera by Juno during Close Flybys

  • Authors: Alessandro Mura, Rosaly M. C. Lopes, Federico Tosi, Francesca Zambon, Roberto Sordini, Peter J. Mouginis-Mark, Julie Rathbun, Scott Bolton, Jani Radebaugh, Alberto Adriani, Andrea Cicchetti, Davide Grassi, Melissa Mirino, Raffaella Noschese, Giuseppe Piccioni, Christina Plainaki, Giuseppe Sindoni

Alessandro Mura et al 2025 The Planetary Science Journal 6 .

  • Provider: AAS Journals

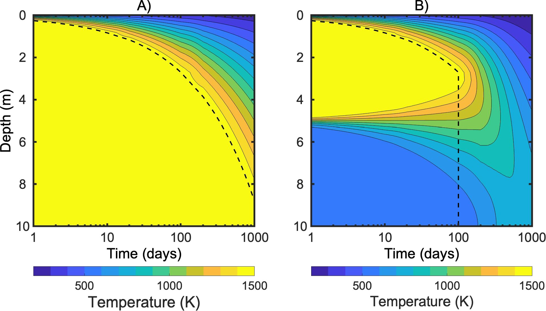
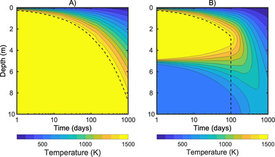
Caption: Figure A1.

Temperature of a 10 m column of cooling magma as a function of depth and time. Scenario A begins with a uniform 10 m column at 1475 K; scenario B begins with a uniform 5 m column at 1475 K. The dashed line represents the depth of the crust at any given time.

Other Images in This Article
Copyright and Terms & Conditions

Additional terms of reuse