Image Details

Choose export citation format:

Correcting Ionospheric Faraday Rotation for the VLA and MeerKAT

  • Authors: Richard A. Perley, Bryan J. Butler, Eric W. Greisen, Benjamin V. Hugo, Evangelia Tremou, A. G. Willis

Richard A. Perley et al 2026 The Astrophysical Journal Supplement Series 283 .

  • Provider: AAS Journals

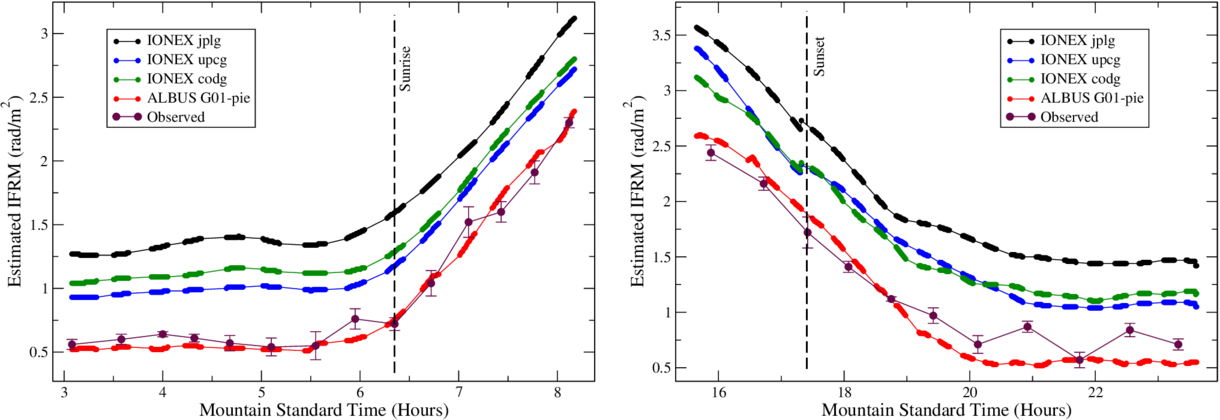
Caption: Figure 5.

The lunar IFRM estimates from three global and two local models, for the “D2” observation (left panel) and the “DC” observation (right panel). The three displayed global estimates are representative of all seven global maps we have investigated. The vertical dashed line marks sunrise or sunset. The plotted data points (in maroon, with error bars) are the actual IFRM values determined from the lunar observations.

Other Images in This Article

Show More

Copyright and Terms & Conditions

Additional terms of reuse